Обзор и тестирование планшета ASUS ZenPad C 7.0 с чехлом ASUS TriCover
01-11-2015
Камера
В тестируемой модели установлены фронтальная (0,3 Мп) и основная (2 Мп) камеры без автофокуса. О серьезных фотографических способностях говорить не приходится. Впрочем, возможностей камер хватит для простых фотозаметок и совершения видеозвонков в условиях хорошей освещенности, но не следует рассчитывать на высокую детализацию.
Фирменное приложение камеры имеет приятный внешний вид и интуитивно понятный интерфейс, а также немалый набор возможностей, в том числе режимы и ручные настройки.
Примеры фотосъемки
Пользовательский интерфейс
ASUS ZenPad C 7.0 работает под управлением ОС Android 5.0.2 Lollipop, которая дополнена фирменной оболочкой ZenUI 1.4.0. ОС довольно простая и красивая, но в тоже время обеспечивает хорошую функциональность и широкие возможности персонализации.
Можно полностью настроить визуальную составляющую почти каждого элемента системы: иконки, шрифты, анимацию, жесты (ZenMotion), прозрачность, стили папок и автоматическую группировку приложений по их назначению.
Установленных приложений довольно много, и все они имеют набор полезных функций, которые пригодятся при повседневном использовании. Мы не будем подробно рассказывать обо всех, а лишь остановимся на самых интересных возможностях.
Родителям должен понравиться режим «Детский», дающий возможность контролировать контент, который сможет использовать ребенок.
Для простоты и удобства эксплуатации можно активировать режим «Easy», который облегчит управление планшетом людям с ограниченными возможностями.
Современные устройства не могут обойтись без эффективных режимов энергосбережения, что помогают продлить время автономной работы.
Меню настроек планшета выполнено в светлых тонах. Открыт доступ почти ко всем параметрам: коммуникационным возможностям, внешнему виду, настройкам экрана, звуковым эффектам и т.п.
Работу оболочки можно охарактеризовать как среднюю по отзывчивости и плавности. После закрытия ресурсоемких приложений могут проявляться подтормаживания и заминки.
Производительность и коммуникационные возможности
Тестируемая модель получила новенький 64-битный SoC-процессор Intel Atom x3-C3230RK. Он сочетает в себе четыре ядра с тактовой частотой до 1,2 ГГц. За графику отвечает ARM Mali-450 MP4. Объем оперативной LPDDR3-памяти составляет 1 ГБ, а постоянной − 16 ГБ (пользователю доступно 11,4 ГБ). Расширить данное пространство можно за счет карт памяти формата microSD (до 64 ГБ). Следует отметить, что существуют модификации с 8 ГБ постоянной памяти.
Судя по результатам тестирования, возможностей планшета хватит только для выполнения простых повседневных задач (робота с документами, серфинг в интернете, прослушивание аудио, просмотр видео) и для запуска казуальных игр. Проекты уровня Dead Trigger 2 и Asphalt 8: Airborne даже на минимальных настройках графики ощутимо тормозят. В процессе продолжительной нагрузки корпус планшета становится лишь немного теплым.
Встроенный мультимедийный проигрыватель имеет достаточно скромную поддержку видео- и аудиоформатов, что подтверждают результаты бенчмарка AnTuTu Video Tester.
Планшет ASUS ZenPad C 7.0 поддерживает работу с современными мобильными сетями 2G GSM и 3G UMTS, что является приятным бонусом для относительно доступного устройства. Поддержка двух SIM-карт реализована на базе одного радиомодуля. Также следует отметить, что модификация с индексом «Z170C» лишена радиомодуля.
Качество звонков находится на высоком уровне и не вызывает никаких замечаний. Разговорный динамик достаточно громкий, поэтому его возможностей хватит для большинства ситуаций.
Коммуникационные интерфейсы представлены модулями Wi-Fi 802.11b/g/n (2,4 ГГц) и Bluetooth 4.0. Также поддерживается стандарт Miracast для передачи мультимедийных данных. Поиск точек подключения не занимает много времени, а соединение характеризуется необходимой стабильностью.
Навигационный модуль глобального геопозиционирования поддерживает работу со спутниковыми системами GPS и GLONASS. «Холодный старт» занимает приблизительно минуту-полторы.
Автономная работа
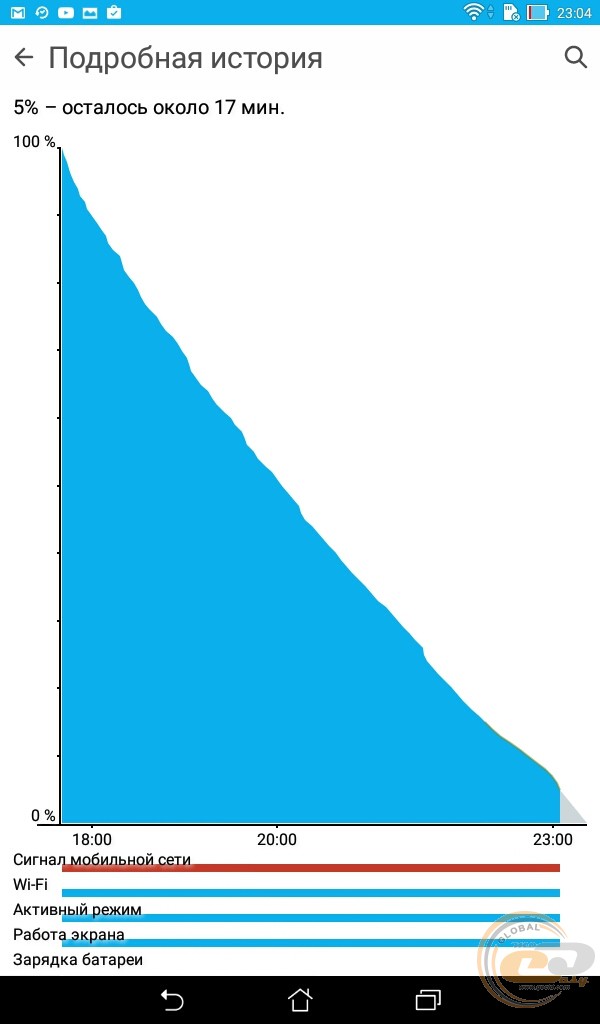
Питание ASUS ZenPad C 7.0 осуществляется силами несменного литий-полимерного аккумулятора емкостью 13 Вт·ч (3420 мА·ч; 3,8 В). При умеренной нагрузке с 50% яркостью дисплея (звонки, SMS, музыка, чуточку интернета) его хватит до двух дней автономной работы.
В результате просмотра HD-видео (MPEG-4 / AVC, контейнер MKV, поток 4 Мбит/с) при 50% яркости дисплея с включенными модулями Wi-Fi и GPS устройство разрядилось почти за 7 часов. Игровая имитация с использованием Asphalt 8: Airborne при 100% яркости дисплея и включенных модулях Wi-Fi и GPS исчерпала заряд аккумулятора за 3 часа.
Тестирование автономности с помощью популярного бенчмарка PCMark (редактирование текста, просмотр видеоконтента, обработка фотографий и т.п.) продемонстрировало результат на уровне 5 часов при 50% яркости дисплея.
Тест GFXBench не запустился, ссылаясь на недостаточное количество памяти.
Время зарядки аккумулятора от комплектного блока (5,2 В; 1,35 А) составляет около 3 часов, а от порта USB 2.0 – почти 8 часов.
Итоги
ASUS ZenPad C 7.0 можно смело назвать универсальной рабочей лошадкой, которая за относительно доступную цену предлагает весь необходимый набор функций и возможностей для неискушенного пользователя. Аппарат получил современный и приятный внешний вид с хорошей эргономикой и высоким качеством исполнения. Производительности аппаратной платформы на основе 4-ядерного процессора Intel Atom x3-C3230RK и 1 ГБ оперативной памяти хватает для выполнения простых повседневных задач (робота с документами, серфинг в интернете, прослушивание аудио, просмотр видео) и для запуска нетребовательных игр. Благодаря наличию радиомодуля с поддержкой сетей 2G GSM и 3G UMTS можно пользоваться благами мобильного интернета, совершать звонки и отправлять SMS. Как и у большинства современных устройств, на месте все самые необходимые коммуникации (Bluetooth, Wi-Fi, Miracast, GPS и GLONASS), работающие надлежащим образом. Отметим и актуальную версию ОС Android 5.0.2 Lollipop в сочетании с фирменной оболочкой ZenUI 1.4.0, что предлагают отличную функциональность и гибкие возможности персонализации.
Как и в большинстве моделей данной ценовой категории, не обошлось и без недостатков. Используемый 7-дюймовый IPS-дисплей характеризуется широкими углами обзора и качественной передачей цветов, но не может похвастать высокой детализацией и наличием автоматической регулировки яркости. Также следует вспомнить довольно посредственное качество полученного контента с обоих модулей цифровых камер.
В целом, если вы ищете доступное устройство, которое сможет выполнять функции недорогого навигатора, смартфона и планшета, то ASUS ZenPad C 7.0 станет хорошим вариантом для приобретения.
Преимущества:
- современный внешний вид;
- хорошая эргономика;
- высокое качество исполнения;
- поддержка двух SIM-карт в режиме Dual SIM Dual Standby;
- поддержка стандартов 2G GSM и 3G UMTS;
- наличие необходимых сетевых модулей;
- актуальная версия ОС Android и функциональная фирменная оболочка ZenUI 1.4.0;
- доступная цена.
Недостатки:
- невысокое разрешение дисплея;
- отсутствие датчика освещенности;
- посредственные модули камер.
Автор: Виктор Ефименко
Выражаем благодарность украинскому представительству компании ASUS за предоставленный для тестирования планшет.
Все цены на Asus+ZenPad+C+7+3G+16GB+Z170CGОпубликовано : 01-11-2015
| Подписаться на наши каналы | |||||
|
|
|
|
||





























